校园新闻
XIAOYUANXINWEN
学则,相当于现在的学校管理制度。抗建中学的手书学则工整规范,制度相当精细完善,对我们现在的教育教学工作也是有一定启发的。今天我们先来了解一下学则里关于总纲、课程设置、考试管理、操行评定等方面的内容。
首先来看总纲。抗建中学依照中学法及修正中学规程,继续小学的基础,培养身心健全的国民,为研究高深学术及从事各种职业的预备实施,开展各种训练。
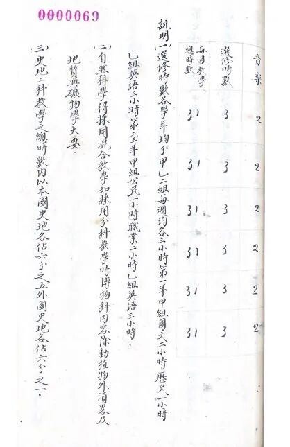
关于课程设置,抗建中学3年中每个学期各个科目所开课时数都有严格规定。其中科目包含了公民、体育、童子军、国文、算学、生理卫生、博物、化学、物理、历史、地理、劳作、图画、音乐等,种类齐全,还设置了不同的教学时数,理念非常的先进。
考试形式也是多样化的,分为日常考查、临时试验、学期考试、毕业考试或毕业会考。
日常考查形式是很多样的,有口头问答、背诵或默写、演习练习、实验、实习及报告、读书报告、作文、测验、调查采集报告、劳动作业、其他课外工作报告。
当时的考试评价理念也是非常先进的,比如说规定日常考查的成绩与临时试验成绩合为各科平时成绩,日常考查成绩在平时成绩内占2/3,临时试验成绩占1/3。
学期成绩3科以上不及格或主要科目2科不及格者需要留级。当然,不合格者也是有补考机会的。两科不及格者,下期得补考一次,补考仍不及格者留级。毕业考试成绩3科以上不及格或主要科目2科不及格者留级。两科不及格者得补考一次,补考仍不及格者留级。连续留级2次为限,如不能晋级,发给休业证明,令其退学。学生缺席或者有假缺席时间过长,都会扣减本学期的学习成绩平均分。
对比现在普及的义务教育,当时的考试合格要求显然更加严苛。
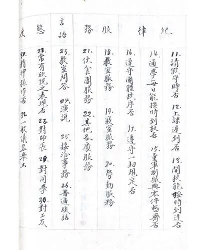
每一个项目都有详细的分值、评分细目和评分标准。以求学为例,就详细的规定了6条考察的细目。操行等级分为甲乙丙丁,如果达到了丁等就得退学了。当然操行分也有加分的标准,所以后面还涉及到比如说勤学加分、不缺席加分、记功加分等等。有加就有减,违规次数多了也会有很多麻烦的。
下一期,我们将聚焦抗建中学在体育成绩考查、学生健康管理、文明礼仪教育、奖惩规定等方面的做法,敬请期待。